Background:
The 2022 European LeukemiaNet (ELN) genetic-risk stratification for acute myeloid leukemia (AML), assigns favorable prognosis to t(8;21)(q22;q22.1)/ RUNX1:: RUNX1T1, inv(16)(p13.1q22) or t(16;16)(p13.1;q22)/ CBFB:: MYH1, NPM1 mutations without FLT3-ITD or adverse karyotype, and bZIP in-frame CEBPA mutations (Döhner , Blood, 2022 ). This risk stratification was derived from intensively treated patients; accordingly, prognostication in ELN favorable genetic risk AML, following venetoclax and hypomethylating agent (VEN-HMA) therapy, remains unclear and was the subject of the current study.
Methods:
Under an institutional review board approved minimum risk protocol, the Mayo Clinic database was searched to identify AML patients with favorable genetic risk, who received treatment with VEN-HMA in the frontline setting. All patients received at least one cycle of either azacitidine 75 mg/m 2 days 1-7 or decitabine 20 mg/m 2 days 1-5 with VEN dose adjusted based on azole antifungal prophylaxis. Genetic risk stratification and treatment response were assessed according to the 2022 ELN criteria. Survival was estimated from the time of VEN-HMA treatment start to last follow-up or death.
Results:
Patient characteristics
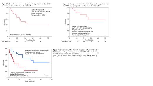
A total of 46 newly-diagnosed AML patients with ELN 2022 favorable genetic risk [ NPM1 mutation, n=36 (78%), CEPBA bZIP mutation, n=7 (15%) and t(8;21)(q22;q22.1)/ inv(16)(p13.1q22), n=4 (9%)] received a median of 4 cycles (range 1-32) of VEN-HMA. Median age was 71 years, with 63% males, and 87% de novo AML. Additional mutations frequently involved TET2 in 17/43 (40%), DNMT3A in 14/45 (31%), SRSF2 in 10/43 (23%), K/NRAS in 10/45 (22%), IDH1 in 8/46 (17%), FLT3-TKD in 7/46 (15%), ASXL1 in 6/43 (14%) and IDH2 in 6/46 (13%),of informative cases.Myelodysplasia (MDS)-related gene mutations ( ASXL1, RUNX1, BCOR, EZH2, SRSF2, U2AF1, SF3B1, STAG2, and/or ZRSR2) were present in 15 of 40 (38%) of patients (93% males).
Predictors of response
Of the 39 (85%) patients that achieved complete remission, with (CR) ( n=24; 52%), or without count recovery (CRi) ( n=15; 33%); CR/CRi rates were not significantly higher in patients with NPM1 mutations (89%), t(8;21)(q22;q22.1)/ inv(16)(p13.1q22) (75%), or CEPBA bZIP mutations (67%) ( p=0.37). Among patients achieving CR/CRi, measurable residual disease by multiparametric flow cytometry was negative in 15 of 16 (94%) of evaluable cases after cycles 1 or 2. In addition, NPM1 qPCR was negative in 15 of 24 (63%) informative patients. Median time to response was 1.2 months with median response duration of 9.4 months. CR/CRi rates were significantly higher in females vs males (100% vs 76%, p=0.01), and in the absence vs presence of MDS-related gene mutations (96% vs 60%, p=0.004). Multivariable analysis confirmed superior response in the absence of MDS-related gene mutations ( p=0.04).
Predictors of survival
At a median follow-up of 10.6 months (range; 1.1-51 months), 21 patients (46%) have died, 9 relapsed (23% of those achieving CR/CRi), and 6 (13%) underwent allogeneic hematopoietic stem cell transplant. Median overall survival was 21 months with 1/2/3-year survival rates of 65%/41%/41% (Figure 1a); median relapse-free survival (RFS) was not reached; 1/2/3-year RFS rates were 81%/66%/57% (Figure 1b). Overall survival was superior in patients achieving CR/CRi (23 months vs 5.6 months; p<0.01), in females vs males (not reached vs 9.7 months; p<0.01), and in the absence of MDS-related gene mutations (not reached vs 5.6 months; p=0.01) (Figure 1c). Subsequent multivariable analysis identified female gender ( p=0.01), and absence of MDS-related mutations ( p=0.17) as independent predictors of superior survival. Similar results were obtained when analysis was restricted to NPM1 mutated patients.
Conclusions:
In the current retrospective study, VEN-HMA therapy in elderly/unfit AML patients with ELN 2022 favorable genetic risk, resulted in response rates that were comparable to those previously appreciated from published reports of patients receiving intensive induction therapy; however, follow-up in the current study was too short to accurately assess long-term overall and relapse-free survival impact. Our study also highlights the adverse prognosis retained by MDS-related gene mutations.
Disclosures
Alkhateeb:Mayo Clinic: Current Employment. Begna:MEI Pharma: Research Funding; Immunogen: Research Funding; Novartis: Membership on an entity's Board of Directors or advisory committees. Shah:AbbVie: Research Funding; Astellas: Research Funding; MRKR Therapeutics: Research Funding; Celgene: Research Funding. Patnaik:Epigenetix: Research Funding; Kura: Research Funding; CTI BioPharma: Membership on an entity's Board of Directors or advisory committees; StemLine: Research Funding.
